4A First Exam Solutions Archives. Always check for mistakes!

Kinematics:
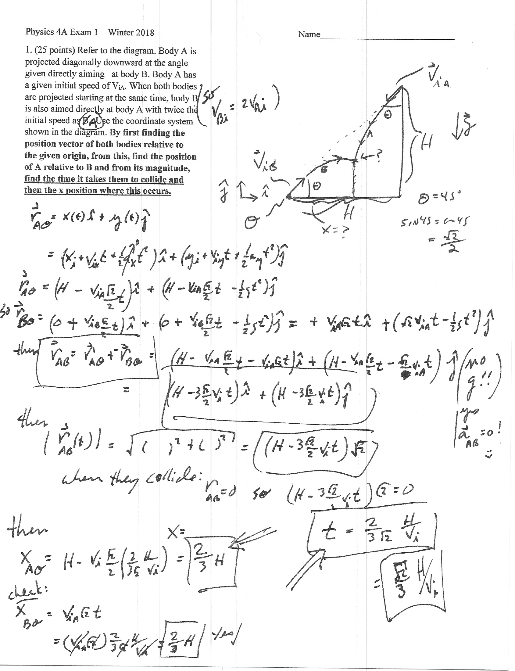
4AE101
4AE102

4AE103
4AE104
4AE105

4AE106
4AE107
4AE108

4AE109

4AE110
4AE112

4AE113

4AE114

4AE115

4AE116

4AE117
4AE118

4AE119

4AE120

4AE121

4AE122

4AE185

Newton's Second Law:
4AE123

4AE183

4AE124

4AE125

4AE126
4AE127

4AE128 (the question should ask to find the magnitude of the acceleration of the block with respect to the elevator)
4AE129

4AE130

4AE131 (find the sign mistake)

4AE132

4AE133

4AE134

4AE135

4AE136

4AE137

4AE138
4AE139
4AE140
4AE141

4AE142
4AE143
4AE144

4AE145

4AE146

4AE147

4AE148
4AE149

4AE150

4AE151 (minus sign mistake?)

4AE152
4AE153

4AE154

4AE155

4AE156

4AE157

4AE158
4AE159
4AE160
4AE161

4AE1611


Newton's Second Law with circular motion:
4AE162
4AE163
4AE164

4AE165 (mistake here?)
4AE166

4AE167

4AE168

4AE169
4AE170

4AE171

4AE172
4AE173

4AE174

4AE175
4AE176

4AE177

4AE178

4AE179
4AE180
4AE181
4AE182